Total Effort |
|

|
Between 1 July 2025 and 30 September 2025 the total amount of effort spent on weed control was 223 hours, all within the Reserve.
This was 42% more than last season and 80% more than the average for the previous 15 seasons of monitoring. When Weetangera paddock is excluded from calculations (as explained below *) effort for the rest of the Reserve was 31% more than last season and 71% more than the average for the previous 15 seasons.
* Note that data for Weetangera paddock is separated from the rest of the Reserve in this and some of the charts below because of the disproportionate amount of effort there in recent seasons with a large proportion of that effort being very intensive, associated with preparing and maintaining planting sites.
|
| |
|
Total effort in different management areas (paddocks) |

The chart shows the total effort for each paddock, divided into the time spent using different weed control methods. |
This chart shows the effort for the season to date in each paddock (see paddock map), separated into the time spent applying each weed control method.
It can be seen that Weetangera paddock received the greatest effort, followed by Southern, Kama, Dam, Kama Link, Central, Hawker, Eastern and the Forest.
|

The chart shows the total effort per ha for each paddock. |
The areas of the paddocks differ considerably, so a better way to compare weeding effort (and to some extent weed prevalence) between paddocks is to express the effort as hours per hectare.
On this basis, Weetangera retains its position, followed by Kama, Southern, Dam, Kama Link, Central, Eastern, Hawker and Forest.
|
| |
|
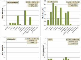
Total effort for different weed types |

This chart shows the effort for each weed type across all paddocks for the season to date.
|
... for the season to date
This chart shows the total effort for the season so far for each weed type.
Most effort (101 h; 46% of total) was spent on the group of uncategorised low to medium risk broadleaf weeds* largely in Weetangera paddock. This was followed at a distance by Paterson's curse and St. John's Wort (both 41 h, 18%), then non-Saffron thistles (15 h, 7%). All other weeds combined accounted for less than 20% of effort.
*this incudes Hoary Mustard, Prickly Lettuce, Nightshade, Fleabane, Tragopogon, Plantain, Flatweeds, Paddymelon and Sorrel.
|

This chart shows the effort for each weed type for each month of the season to date.
|
... for each month so far this season
The chart to the left summarises the effort for the different weed types for each month this season, showing how the effort on different weed types changed from month to month.
It is also worth comparing this chart with those for all previous seasons.
|
|
|
... also
|
| |
Effort for different weed types in each management area (paddock) |
|
|
... via a hover map
Click the image on the left to open a full-size map in a new window.
Hover your mouse pointer over any paddock to see the effort that has been spent in that paddock in this season on each weed type.
|
|
... relative effort
This shows, for each weed type, the effort that has been spent in the season to date in each paddock.
Effort is expressed per hectare to take into account the different paddock sizes. This allows one to judge relative levels of infestation by each weed type in different paddocks.
The data can be also viewed as hours of effort in each paddock for each weed type. |
| |
|
|
|